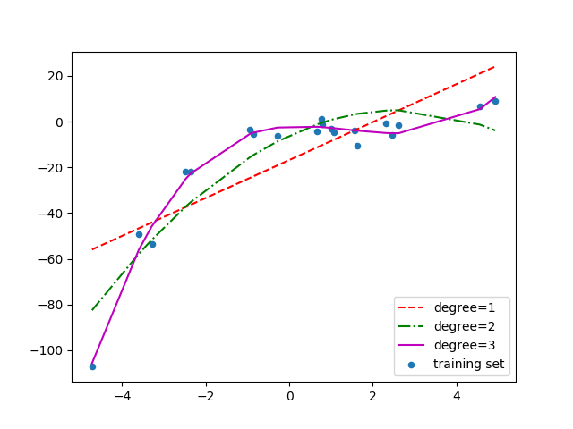
class: front <!--- Para correr en ATOM - open terminal, abrir R (simplemente, R y enter) - rmarkdown::render('static/docpres/07_interacciones/7interacciones.Rmd', 'xaringan::moon_reader') About macros.js: permite escalar las imágenes como [scale 50%](path to image), hay si que grabar ese archivo js en el directorio. ---> .pull-left[ # Estadística Multivariada ## Juan Carlos Castillo ## Sociología FACSO - UChile ## 1er Sem 2020 ## [multivariada.netlify.com](https://multivariada.netlify.com) ] .pull-right[ .right[  <br> <br> ## Sesión 11: Supuestos y robustez del modelo de regresión ] ] --- layout: true class: animated, fadeIn --- class: inverse, middle, center # ¿Qué tan apropiado es el modelo de regresión para dar cuenta de las relaciones entre los datos? --- .center[ <!-- --> ] .small[ Anscombe, F. J. (1973). Graphs in Statistical Analysis. The American Statistician, 27(1), 17–21. https://doi.org/10.1080/00031305.1973.10478966] --- class: middle .tiny[ ```r sjPlot::tab_model(list(a1,a2,a3,a4), show.se=TRUE, show.ci=FALSE, digits=2, p.style = "asterisk", dv.labels = c("Modelo 1", "Modelo 2", "Modelo 3", "Modelo 4"), string.pred = "Predictores", string.est = "β") ``` <table style="border-collapse:collapse; border:none;"> <tr> <th style="border-top: double; text-align:center; font-style:normal; font-weight:bold; padding:0.2cm; text-align:left; "> </th> <th colspan="2" style="border-top: double; text-align:center; font-style:normal; font-weight:bold; padding:0.2cm; ">Modelo 1</th> <th colspan="2" style="border-top: double; text-align:center; font-style:normal; font-weight:bold; padding:0.2cm; ">Modelo 2</th> <th colspan="2" style="border-top: double; text-align:center; font-style:normal; font-weight:bold; padding:0.2cm; ">Modelo 3</th> <th colspan="2" style="border-top: double; text-align:center; font-style:normal; font-weight:bold; padding:0.2cm; ">Modelo 4</th> </tr> <tr> <td style=" text-align:center; border-bottom:1px solid; font-style:italic; font-weight:normal; text-align:left; ">Predictores</td> <td style=" text-align:center; border-bottom:1px solid; font-style:italic; font-weight:normal; ">β</td> <td style=" text-align:center; border-bottom:1px solid; font-style:italic; font-weight:normal; ">std. Error</td> <td style=" text-align:center; border-bottom:1px solid; font-style:italic; font-weight:normal; ">β</td> <td style=" text-align:center; border-bottom:1px solid; font-style:italic; font-weight:normal; ">std. Error</td> <td style=" text-align:center; border-bottom:1px solid; font-style:italic; font-weight:normal; ">β</td> <td style=" text-align:center; border-bottom:1px solid; font-style:italic; font-weight:normal; col7">std. Error</td> <td style=" text-align:center; border-bottom:1px solid; font-style:italic; font-weight:normal; col8">β</td> <td style=" text-align:center; border-bottom:1px solid; font-style:italic; font-weight:normal; col9">std. Error</td> </tr> <tr> <td style=" padding:0.2cm; text-align:left; vertical-align:top; text-align:left; ">(Intercept)</td> <td style=" padding:0.2cm; text-align:left; vertical-align:top; text-align:center; ">3.00 <sup>*</sup></td> <td style=" padding:0.2cm; text-align:left; vertical-align:top; text-align:center; ">1.12</td> <td style=" padding:0.2cm; text-align:left; vertical-align:top; text-align:center; ">3.00 <sup>*</sup></td> <td style=" padding:0.2cm; text-align:left; vertical-align:top; text-align:center; ">1.13</td> <td style=" padding:0.2cm; text-align:left; vertical-align:top; text-align:center; ">3.00 <sup>*</sup></td> <td style=" padding:0.2cm; text-align:left; vertical-align:top; text-align:center; col7">1.12</td> <td style=" padding:0.2cm; text-align:left; vertical-align:top; text-align:center; col8">3.00 <sup>*</sup></td> <td style=" padding:0.2cm; text-align:left; vertical-align:top; text-align:center; col9">1.12</td> </tr> <tr> <td style=" padding:0.2cm; text-align:left; vertical-align:top; text-align:left; ">x1</td> <td style=" padding:0.2cm; text-align:left; vertical-align:top; text-align:center; ">0.50 <sup>**</sup></td> <td style=" padding:0.2cm; text-align:left; vertical-align:top; text-align:center; ">0.12</td> <td style=" padding:0.2cm; text-align:left; vertical-align:top; text-align:center; "></td> <td style=" padding:0.2cm; text-align:left; vertical-align:top; text-align:center; "></td> <td style=" padding:0.2cm; text-align:left; vertical-align:top; text-align:center; "></td> <td style=" padding:0.2cm; text-align:left; vertical-align:top; text-align:center; col7"></td> <td style=" padding:0.2cm; text-align:left; vertical-align:top; text-align:center; col8"></td> <td style=" padding:0.2cm; text-align:left; vertical-align:top; text-align:center; col9"></td> </tr> <tr> <td style=" padding:0.2cm; text-align:left; vertical-align:top; text-align:left; ">x2</td> <td style=" padding:0.2cm; text-align:left; vertical-align:top; text-align:center; "></td> <td style=" padding:0.2cm; text-align:left; vertical-align:top; text-align:center; "></td> <td style=" padding:0.2cm; text-align:left; vertical-align:top; text-align:center; ">0.50 <sup>**</sup></td> <td style=" padding:0.2cm; text-align:left; vertical-align:top; text-align:center; ">0.12</td> <td style=" padding:0.2cm; text-align:left; vertical-align:top; text-align:center; "></td> <td style=" padding:0.2cm; text-align:left; vertical-align:top; text-align:center; col7"></td> <td style=" padding:0.2cm; text-align:left; vertical-align:top; text-align:center; col8"></td> <td style=" padding:0.2cm; text-align:left; vertical-align:top; text-align:center; col9"></td> </tr> <tr> <td style=" padding:0.2cm; text-align:left; vertical-align:top; text-align:left; ">x3</td> <td style=" padding:0.2cm; text-align:left; vertical-align:top; text-align:center; "></td> <td style=" padding:0.2cm; text-align:left; vertical-align:top; text-align:center; "></td> <td style=" padding:0.2cm; text-align:left; vertical-align:top; text-align:center; "></td> <td style=" padding:0.2cm; text-align:left; vertical-align:top; text-align:center; "></td> <td style=" padding:0.2cm; text-align:left; vertical-align:top; text-align:center; ">0.50 <sup>**</sup></td> <td style=" padding:0.2cm; text-align:left; vertical-align:top; text-align:center; col7">0.12</td> <td style=" padding:0.2cm; text-align:left; vertical-align:top; text-align:center; col8"></td> <td style=" padding:0.2cm; text-align:left; vertical-align:top; text-align:center; col9"></td> </tr> <tr> <td style=" padding:0.2cm; text-align:left; vertical-align:top; text-align:left; ">x4</td> <td style=" padding:0.2cm; text-align:left; vertical-align:top; text-align:center; "></td> <td style=" padding:0.2cm; text-align:left; vertical-align:top; text-align:center; "></td> <td style=" padding:0.2cm; text-align:left; vertical-align:top; text-align:center; "></td> <td style=" padding:0.2cm; text-align:left; vertical-align:top; text-align:center; "></td> <td style=" padding:0.2cm; text-align:left; vertical-align:top; text-align:center; "></td> <td style=" padding:0.2cm; text-align:left; vertical-align:top; text-align:center; col7"></td> <td style=" padding:0.2cm; text-align:left; vertical-align:top; text-align:center; col8">0.50 <sup>**</sup></td> <td style=" padding:0.2cm; text-align:left; vertical-align:top; text-align:center; col9">0.12</td> </tr> <tr> <td style=" padding:0.2cm; text-align:left; vertical-align:top; text-align:left; padding-top:0.1cm; padding-bottom:0.1cm; border-top:1px solid;">Observations</td> <td style=" padding:0.2cm; text-align:left; vertical-align:top; padding-top:0.1cm; padding-bottom:0.1cm; text-align:left; border-top:1px solid;" colspan="2">11</td> <td style=" padding:0.2cm; text-align:left; vertical-align:top; padding-top:0.1cm; padding-bottom:0.1cm; text-align:left; border-top:1px solid;" colspan="2">11</td> <td style=" padding:0.2cm; text-align:left; vertical-align:top; padding-top:0.1cm; padding-bottom:0.1cm; text-align:left; border-top:1px solid;" colspan="2">11</td> <td style=" padding:0.2cm; text-align:left; vertical-align:top; padding-top:0.1cm; padding-bottom:0.1cm; text-align:left; border-top:1px solid;" colspan="2">11</td> </tr> <tr> <td style=" padding:0.2cm; text-align:left; vertical-align:top; text-align:left; padding-top:0.1cm; padding-bottom:0.1cm;">R<sup>2</sup> / R<sup>2</sup> adjusted</td> <td style=" padding:0.2cm; text-align:left; vertical-align:top; padding-top:0.1cm; padding-bottom:0.1cm; text-align:left;" colspan="2">0.667 / 0.629</td> <td style=" padding:0.2cm; text-align:left; vertical-align:top; padding-top:0.1cm; padding-bottom:0.1cm; text-align:left;" colspan="2">0.666 / 0.629</td> <td style=" padding:0.2cm; text-align:left; vertical-align:top; padding-top:0.1cm; padding-bottom:0.1cm; text-align:left;" colspan="2">0.666 / 0.629</td> <td style=" padding:0.2cm; text-align:left; vertical-align:top; padding-top:0.1cm; padding-bottom:0.1cm; text-align:left;" colspan="2">0.667 / 0.630</td> </tr> <tr> <td colspan="9" style="font-style:italic; border-top:double black; text-align:right;">* p<0.05 ** p<0.01 *** p<0.001</td> </tr> </table> ] --- class: middle, center  --- class: inverse <br> <br> <br> - El modelo de regresión es para asociaciones **lineales** entre variables -- - En ausencia de asocaciones lineales se pueden generar distorsiones en la estimación -- - El **Análisis de robustez** o **chequeo de supuestos** permite analizar en qué medida el modelo es una representación adecuada de las asociaciones entre las variables. --- class: inverse middle ## **A revisar:** .pull-left-wide[ 1. Observaciones influyentes 2. Linealidad 3. Homogeneidad de varianza (homocedasticidad) 4. Inflación de varianza ] .pull-right-narrow[ <br> <br> <br>  ] --- class: inverse middle ## **A revisar:** .pull-left-wide[ 1. **Observaciones influyentes** 2. Linealidad 3. Homogeneidad de varianza (homocedasticidad) 4. Inflación de varianza ] .pull-right-narrow[ <br> <br> <br>  ] --- class: center .small[ <!-- --> ] -- Una observación es **influyente** si su presencia/ausencia genera un cambio importante en la estimación de los coeficientes de regresión --- ## Ouliers vs observaciones influyentes - la identificación descriptiva de un outlier en una variable no necesariamente implica influencia -- .center[ .medium[ .content-box-red[ .red[ **No todo outlier es una observación influyente, pero toda observación influyente es un outlier ** ] ] ] ] -- - la capacidad de influencia de un outlier se asocia al concepto de **"apalancamiento"** (leverage). --- ## Identificando influyentes: Distancia de Cook `$$DCook=\frac{\sum(\hat{y_{j}}-\hat{y_{j(i)}})^2}{p*MSE}$$` Se trata de una diferencia de la predicción del modelo con y sin la observación `\(i\)`, ponderada por el número de parametros en el modelo (p) y la media cuadrática del error (MSE). Se establece un punto de corte de `\(4/(n-k-1)\)`, valores mayores se consideran influyentes -> outliers con alta capacidad de palanca. --- ## Manejo de casos influyentes .pull-left[ .small[ <!-- --> ] ] .pull-right[ .content-box-red[ - estimar Cook para todas las observaciones - detectar observaciones con Cook > punto de corte = influyentes - re-estimar modelo sin las observaciones y comparar resultados ] ] --- class: inverse middle ## **A revisar:** .pull-left-wide[ 1. Observaciones influyentes 2. **Linealidad** 3. Homogeneidad de varianza (homocedasticidad) 4. Inflación de varianza ] .pull-right-narrow[ <br> <br> <br>  ] --- ## Linealidad (asociaciones lineales) Recordando: - valores predichos: `\(\hat{Y}\)` - residuos `\(\hat{Y}-Y\)` -- Una forma en que se puede expresar la linealidad se relaciona con la **distribución de los residuos** En presencia de linealidad se esperaría que los residuos se distribuyan **aleatoriamente** en torno a la recta de regresión (representada por los valores predichos) --- ## Predichos (fitted) y residuos en Anscombe .center[ <!-- --> ] --- ## Predichos (fitted) y residuos en Anscombe .center[ <!-- --> ] --- ## Interpretación del gráfico de Diagnóstico. - Los residuos deben ser **independientes** de los valores predichos - Cualquier correlación entre los residuos y los valores predichos violarían este supuesto. - Sí los residuos muestran una patrón no lineal, como una **relación curvilinea**, el modelo esta especificado incorrectamente. --- ## ¿Qué hacer en caso de no-linealidad? - descartar observaciones influyentes - transformación de variables, ej: - polinomial - logarítmica --- ## Transformación polinomial .pull-left[ - transformaciones de potencia que permiten capturar asocaciones no lineales / curvas - además de la variable original `\(x\)`, se suma(n) al modelo terminos cuadráticos `\(x^2\)`, cúbicos `\(x^3\)`... - caso típico: edad ] .pull-right[  ] --- ## Transformación polinomial .pull-left[  ] .pull-right[  ] --- ## Transformación logarítmica - utilizada para variables con un alto sesgo en su distribución .center[  ] - pondera crecientemente las diferencias entre los valores de la escala --- ## Transformación logarítmica .pull-left[ - Se reemplaza la variable por la transformada logarítmicamente en el modelo (a diferencia de los polinomios) - caso típico: ingreso ] .pull-right[  ] --- class: inverse middle ## **A revisar:** .pull-left-wide[ 1. Observaciones influyentes 2. Linealidad 3. **Homogeneidad de varianza (homocedasticidad)** 4. Inflación de varianza ] .pull-right-narrow[ <br> <br> <br>  ] --- ## Homogeneidad de varianza - se refiere al supuesto de que la varianza de los residuos debería ser homogenea a lo largo de los valores predichos - problemas de homocedasticidad en los residuos (**=heterocedasticidad**) puede afectar la estimación de los parámetros y su significación estadística --- ## Homogeneidad de varianza .center[  ] --- ## Detección de Heterocedasticidad - test Breush-Pagan, en R: `car::ncvTest(model1)` - test de Cook-Weisberg, en R: `lmtest::bptest(model1)` - se contrasta la hipótesis nula de que la varianza del error es constante (=no diferencias), y la hipótesis alternativa de que el error de la varianza no es constante. - por lo tanto, se busca no rechazar la hipótesis nula y valores p>0.05 --- ## Correciones a problemas de Heterocedasticidad. - estimar un modelo de regresión con errores estándar robustos a heterocedasticidad (Ej: Errores Estándar Robustos de White). En R: ```r library(lmtest) library(sandwich) model_robust<- coeftest(model, vcov=vcovHC) ``` - luego, comparar ambos modelos --- class: inverse middle ## **A revisar:** .pull-left-wide[ 1. Observaciones influyentes 2. Linealidad 3. Homogeneidad de varianza (homocedasticidad) 4. **Inflación de varianza** ] .pull-right-narrow[ <br> <br> <br>  ] --- ## Multicolinealidad / inflación de varianza de error - un supuesto de los modelos de regresión es que los predictores no están (altamente) correlacionados - en casos de alta correlación, se produce una inflación de los errores estándar, disminuyendo los valores t y afectando el rechazo de la hipótesis nula --- ## Detección: VIF `$$VIF=\frac{1}{1-R^{2}_x}$$` - VIF (Variance Inflation Factor): se calcula en base a un modelo donde `\(X\)` es la dependiente y las otras X independientes. - Mientras mayor el `\(R^2_x\)`, más pequeño el denominador y mayor será VIF, indicando alta multicolinealidad para esa variable --- ## Interpretación del VIF - Si `\(VIF=1\)`, entonces `\(R^{2}_x=0\)`, queriendo decir que la variable open es completamente independiente de las otras variables explicativas del modelo original. - Sin embargo, si `\(VIF=10\)`, entonces `\(R^{2}_x=0.9\)`, queriendo decir que el 90% de la varianza de la variable open puede ser explicada por las otras variables explicativas del modelo. --- ## Estimación de VIF Para análizar el supuesto de no multicolinealidad en R, usamos la función **vif** de la librería car. ```r car::vif(model1) ``` - valores mayores a 2.5 pueden indicar alta multicolinealidad --- class: inverse ## Resumen .pull-left-narrow[ <br> <br> <br>  ] .pull-right[ 1. Observaciones influyentes 2. Linealidad 3. Homogeneidad de varianza (homocedasticidad) 4. Inflación de varianza ] --- class: inverse ## Recomendaciones generales - buenos descriptivos uni y bivariados - generar sección posterior al análisis de modelos: "Análisis de robustez" - informar procedimientos y decisiones --- class: roja ## Próxima clase: pendientes varios breves - estandarización - centrado de variables - rescate de casos perdidos - tratamiento de variable ingreso (continua, deciles, logarítmica) - índices - introducción interacciones ... --- class: front .pull-left[ # Estadística Multivariada ## Juan Carlos Castillo ## Sociología FACSO - UChile ## 1er Sem 2020 ## [multivariada.netlify.com](https://multivariada.netlify.com) ] .pull-right[ .right[ <br>  ] ]